Archivi tag: giocattolo

Realizziamo un organo elettronico giocattolo

Per i miei allievi di 3′

Nell’ultima esperienza di laboratorio ho introdotto l’uso dell’integrato 555 in configurazione astabile, di seguito vi riassumo velocemente ciò che abbiamo detto a lezione tralasciando i passaggi matematici già spiegati, tenete in conto che il 555 sarà anche argomento di 4′ e quindi avremo modo di approfondire e sperimentare ancor di più.

Il circuito dell’organo elettronico giocattolo è il seguente:

Lista componenti:

  • R1 = R2 = R3 = R4 = R5 = R6 = 1K?
  • R7 = 10 K?
  • C1 = 100 nF
  • C2 = 10 nF
  • C3 = 10 ?F
  • Alt = Altoparlante da 8 ?
  • IC = 555
  • da P1 a P6 pulsanti

Come detto il suo funzionamento è basato su questo schema:

fig. 1

in cui il gruppo di resistenze e pulsanti è sostituito dalla resistenza Rb.

La resistenza che permette la regolazione della temporizzazione è divisa in due parti: Ra ed Rb ed il piedino 7  è connesso al punto di giunzione tra Ra ed Rb.
Quando la tensione del condensatore C1 raggiunge i 2/3 di Vcc il condensatore C1 incomincia a scaricarsi verso massa attraverso la resistenza Rb.
Quando la tensione su C1 si porta ad 1/3 di Vcc riparte un nuovo ciclo di carica e l’uscita sul piedino 3 va al valore “alto” (a +Vcc)
Il condensatore C1 si carica e scarica periodicamente tra 2/3 Vcc e 1/3 Vcc (fig. 2) come conseguenza l’uscita varia tra 0 e +Vcc

fig. 2

L’uscita (piedino 3) sarà “alta” durante la parte di carica del ciclo, intervallo t1, secondo la seguente relazione:

L’uscita sarà “bassa” durante la parte di scarica, intervallo t2, secondo la relazione:

Il periodo totale sarà la somma dell’intervallo di carica e di quello di scarica:

La frequenza di uscita sarà quindi:

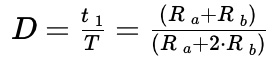
Vi ricordo che il duty cycle (ciclo di lavoro) indicato con la lettera D è il rapporto tra l’intervallo di tempo in cui il segnale è “alto” (in un ciclo) e la durata dell’intero ciclo:

Nel circuito dell’organo il trimmer R7 viene utilizzata per cambiare della stessa quantità i suoni generati premendo i pulsanti, ogni volta che viene premuto un pulsante, ad R7 si sommeranno le resistenze a monte del pulsante premuto (cambia la Rb nel circuito di fig. 2) e ciò farà variare la frequenza di uscita e quindi il suono generato.

Di seguito trovate i disegni del circuito su breadboard realizzati con Fritzing ed il video del prototipo che trovate in laboratorio.

Visione d’insieme:

Ingrandimento sezione 555:

Ingrandimento sezione tastiera:

Filmato: