
Nella lezione precedente abbiamo utilizzato un generatore di tensione (nell’esempio una batteria di automobile), all’interno della batteria le forze elettrochimiche interne e la forza di attrazione delle cariche si bilanciano e ci sarà un accumuolo di cariche negative su un morsetto ed un ugual accumulo di cariche positive sul morsetto opposto. Se realizziamo un collegamento elettrico con un filo conduttore a cui è collegata una lampadina, permettiamo agli elettroni, attraverso il cavo elettrico, di raggiungere il polo positivo direttamente dall’esterno della batteria.

Il flusso di corrente avviene perché all’interno del conduttore vi è la presenza di elettroni liberi. Il polo positivo della batteria esercita un’attrazione degli elettroni liberi del conduttore verso di se, mentre il polo negativo esercita una repulsione (li spinge via).
Tutto ciò consente la diffusione istantanea degli elettroni e ciò è evidenziato dall’accensione della lampadina.
Durante questo movimento accade che gli elettroni che giungono al polo positivo annullano parte delle cariche, ciò coporta una diminuzione della forza di attrazione interna Fa (si veda la lezione 11) presente all’interno del generatore. La forza elettromotrice interna del generatore sposta gli elettroni sul polo negativo.
Questo processo crea un flusso continuo di elettroni che prende il nome di corrente elettrica (simbolo I).
Come verso convenzionale della corrente si assumo essere quello diretto, all’esterno del generatore, dal polo positivo a quello negativo, opposto quindi al flusso di elettroni.

L’unità di misura della corrente elettrica è l’Ampere, dal nome del fisico francese A.M. Ampere. La misura della corrente elettrica si effettua con uno strumento chiamato amperometro.

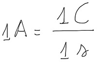
Abbiamo precedentemente detto che la corrente elettrica è un flusso di elettroni, cioè di cariche elettriche, definiamo quindi intensità di corrente come il rapporto tra la carica Q (espressa in Coulomb) che passa in una sezione di un conduttore ed il tempo t (esperesso in secondi) impiegato dalla carica per passare.

dove:
I: intensità di corrente (Ampere)
Q: carica elettrica (Coulomb)
t: tempo (secondi)
avremo quindi che:

Possiamo quindi affermare che 1 ampere è l’intensità di corrente corrispondente al passaggio di una carica di 1 Coulomb in 1 secondo attraverso la sezione di un conduttore.
Per rendere più chiaro il concetto possiamo fare un’analogia idraulica e paragonare l’intensità di corrente alla portata dell’acqua in una tubazione, misurata in

che corrisponde al passaggio di un numero grandissimo di molecole.
Si faccia antenzione però, che nell’analogia fatta vi sono differenze significative in quanto per la corrente elettrica si ha una migrazione di elettroni all’interno del conduttore i cui atomi non si spostano, mentre nell’acqua si ha un trasferimento di materia dovuto allo spostamento di molecole.
